skip to main
|
skip to sidebar
books, softwares for mechanical and petrochemical industry / Forex Trading
t.me/tamilforextrade
Search books and softwares
Tuesday, October 18, 2016
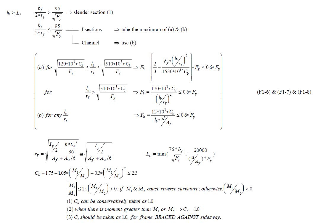
Allowable Stress Design Flow Chart - AISC - Manual of Steel construction
Allowable Stress Design Flow Chart - AISC - Manual of Steel construction
No comments:
Post a Comment
We appreciate your comments and feedbacks!
Newer Post
Older Post
Home
Subscribe to:
Post Comments (Atom)
mechanical-petrochemical.blogspot
About Me
books, software
View my complete profile
Archived posts
►
2022
(1)
►
June
(1)
►
2021
(2)
►
April
(2)
►
2019
(8)
►
December
(2)
►
February
(6)
▼
2016
(59)
►
December
(12)
►
November
(5)
▼
October
(42)
GPSA - Engineering Data Book (13th Ed) SI 2012
Slug Flow Analysis Using Dynamic Spectrum Method i...
3D Video Boiler Presentation
Cathodic Corrosion Protection Hand book
Duplex material - Materials Literature Collection ...
Materials Literature Collection 019/200 -Alloy 625
Defect Sizing Using Non-destructive Ultrasonic Tes...
Functions of Gaskets for leak proof Flanged joints
Heat Transfer engineering book
Engineering Fluid Mechanics
Engineering Mathematics: YouTube Workbook
Engineering Thermodynamics
ACGIH 2096 Industrial Ventilation: A Manual of Rec...
Materials Literature Collection 018/200 - 13CrMo4-5
Reservoir Engineering Handbook
Caesar II - Methods for flange leakage checking by...
ISO/TC 227- Springs
ISO/TC 135- Non-Destructive Testing
API 579-1 / ASME FFS-1 2016.
Boilers and pressure vessels
Heat exchanger Training manual
AWS D1.1 - Steel welding code
Pressure Vessel / API 650 Tanks General STD -3
Pressure Vessel / API 650 Tanks General STD-2
Pressure Vessel / API 650 Tank General STD-1
Pressure Vessel Saddle support STD
THERMAL ENGINEERING - BASIC CONSPETS
BASIC CONCEPTS OF FLUID MECHANICS
Quick reference Guide to ASME Sec VIII -Div-1
Allowable Stress Design Flow Chart - AISC - Manual...
API 650 STD Figures and Images Classes
TANK ANCHORAGE - API 650
Unit conversion
Simple Machines and mechanics calculations basic
Engineering Basic equation
Area and volume calculation basic ideas
Basic Moment of inertia and structural analysis
Velocity and flow rate calculation Example for ea...
API 650 Tank Design Calculation in Mathcad - sample
Lifting Lug for Nozzles / Pipes - Erection purpose.
Lifting Lug design calculation in mathcad - Ellipt...
API 650 Annex-P Calculation, validation of AMEtank...
►
2013
(5)
►
November
(5)
►
2012
(8)
►
September
(8)
►
2011
(1)
►
February
(1)
►
2010
(5)
►
October
(5)
►
2009
(5)
►
November
(5)
Followers
Games
Super mario
Arkanoid - brick breaker
Pinball
Tetris
I likes
Useful food crops
No comments:
Post a Comment
We appreciate your comments and feedbacks!